Mizuho Financial Group, Inc. (the "Company") hereby announces that its Board of Directors has resolved today to issue stock compensation–type stock options (stock acquisition rights) to the Directors (excluding the Outside Directors) and Executive Officers of the Company and of Mizuho Bank, Ltd., Mizuho Corporate Bank, Ltd., Mizuho Trust & Banking Co., Ltd. and Mizuho Securities Co., Ltd., subsidiaries of the Company, in accordance with Articles 238 and 240 of the Company Law of Japan, as follows.
1. Reason for Issuance of Stock Acquisition Rights as Stock Option
The purpose of issuance of stock acquisition rights as stock option is to further strengthen the motivation of the Directors (excluding the Outside Directors) and Executive Officers of the Company, Mizuho Bank, Ltd., Mizuho Corporate Bank, Ltd., Mizuho Trust & Banking Co., Ltd. and Mizuho Securities Co., Ltd. to contribute to increases in the share price and profits of the Company.
2. Terms and Conditions of Stock Acquisition Rights
- (1)Name of Stock Acquisition Rights:
Fifth Series of Stock Acquisition Rights of Mizuho Financial Group, Inc. (hereinafter referred as the "Stock Acquisition Rights") - (2)Aggregate Number of Stock Acquisition Rights:
11,776
The above aggregate number is the number of the Stock Acquisition Rights scheduled to be allotted. If the aggregate number of the Stock Acquisition Rights to be allotted is reduced due to any Stock Acquisition Rights not being subscribed for or for any other reason, the aggregate number of the Stock Acquisition Rights to be issued shall be the aggregate number of the Stock Acquisition Rights to be allotted. - (3)Class and Number of Shares to be Issued or Transferred upon Exercise of Stock Acquisition Rights:
The class of shares to be issued or transferred upon exercise of the Stock Acquisition Rights shall be common stock of the Company, and the number of shares to be issued or transferred upon exercise of each of the Stock Acquisition Rights (hereinafter referred to as the "Number of Granted Shares") shall be one thousand (1,000) shares. (the number of shares constituting one (1) unit of shares is one hundred (100).)
In the event that, after the allotment of the Stock Acquisition Rights, the Company conducts, with respect to the shares of its common stock, a stock split (or an allotment of shares without consideration) or the Company consolidates the shares of common stock of the Company, the Number of Granted Shares shall be adjusted in accordance with the following formula and any fraction less than one (1) share resulting from the adjustment shall be disregarded:
Number of Granted Shares after adjustment = Number of Granted Shares before adjustment × Ratio of stock split (or allotment of shares without consideration) or stock consolidation
The Number of Granted Shares after adjustment shall be applicable, in the case of a stock split (or an allotment of shares without consideration) on and after the day immediately following the record date of the relevant stock split (or an allotment of shares without consideration) or, in the case of a consolidation of shares, on and after its effective date; provided, however, that in the event that a stock split (or an allotment of shares without consideration) shall be conducted on the condition that an agenda to increase the capital or reserves by reducing the amount of surpluses is approved at a general meeting of shareholders of the Company and the record date for such stock split (or an allotment of shares without consideration) shall be prior to the date of closing of such general meeting of shareholders, the Number of Granted Shares after adjustment shall be applicable on and after the day immediately following the date of closing of the relevant general meeting of shareholders.
Furthermore, if the Company conducts any mergers or corporate splits, or if any other events occur that require an adjustment of the Number of Granted Shares in a manner similar to the adjustments related to such events, the Company may adjust the Number of Granted Shares to a reasonable extent as appropriate.
When the Number of Granted Shares is adjusted, the Company shall give notice of necessary matters to each holder of the Stock Acquisition Rights registered in the register of Stock Acquisition Rights (hereinafter referred to as the "Holder") or give public notice thereof, no later than the day immediately preceding the date on which the Number of Granted Shares after adjustment shall become effective; provided, however, that if the Company is unable to give such notice or public notice no later than the date immediately preceding such applicable date, the Company shall thereafter promptly give such notice or public notice. - (4)Amount of Assets to be Contributed upon Exercise of Stock Acquisition Rights:
The amount of assets to be contributed upon exercise of each of the Stock Acquisition Rights shall be an amount obtained by multiplying the amount to be paid in per share to be issued or transferred upon the exercise of such Stock Acquisition Right (which shall be one (1) yen), by the Number of Granted Shares. - (5)Period During Which Stock Acquisition Rights May be Exercised:
From September 3, 2012 to August 31, 2032 - (6)Conditions for the Exercise of Stock Acquisition Rights:
The Holder may exercise the Stock Acquisition Rights which have been allotted based on his or her capacity as a Director or an Executive Officer of the Company, Mizuho Bank, Ltd., Mizuho Corporate Bank, Ltd., Mizuho Trust & Banking Co., Ltd. or Mizuho Securities Co., Ltd. immediately following the date on which such Holder loses the status as a Director or an Executive Officer of the Company, Mizuho Bank, Ltd., Mizuho Corporate Bank, Ltd., Mizuho Trust & Banking Co., Ltd. or Mizuho Securities Co., Ltd. - (7)Provisions Concerning Acquisition of Stock Acquisition Rights:
If any of the agendas set forth in (i), (ii), (iii), (iv) and (v) below is approved at a general meeting of shareholders of the Company (or, if a resolution of a general meeting of shareholders is not required, is resolved at the Board of Directors of the Company or determined by the Executive Officer who has been delegated such determination pursuant to the provisions of Article 416, Paragraph 4 of the Company Law), the Company may acquire the Stock Acquisition Rights without consideration on the date to be separately determined by the Board of Directors of the Company or by the Representative Director who has been delegated such determination:- (i)Agenda for approval of a merger agreement under which the Company shall become a dissolving company;
- (ii)Agenda for approval of split agreement or split plan under which the Company shall split;
- (iii)Agenda for approval of a stock exchange agreement or stock transfer plan under which the Company shall become a wholly–owned subsidiary;
- (iv)Agenda for approval of an amendment to the Articles of Incorporation in order to establish the provision that an acquisition by way of transfer of all shares to be issued by the Company shall require the approval of the Company; and
- (v)Agenda for approval of an amendment to the Articles of Incorporation in order to establish the provision that an acquisition by way of transfer of a class of shares to be issued or transferred upon exercise of the Stock Acquisition Rights shall require the approval of the Company or that the Company may acquire all of such class of shares upon a resolution of a general meeting of shareholders.
- (8)Approval for Acquisition of Stock Acquisition Rights by Way of Transfer:
The acquisition of the Stock Acquisition Rights by way of transfer shall require an approval by a resolution of the Board of Directors of the Company. - (9)Matters Concerning the Capital and Capital Reserve to be Increased due to Issuance of Shares upon Exercise of Stock Acquisition Rights:
The amount of capital to be increased due to the issuance of shares upon exercise of the Stock Acquisition Rights shall be one half of the maximum amount of capital increase, etc., which is calculated in accordance with Article 17, Paragraph 1 of the Corporate Accounting Regulations, and any fraction less than one (1) yen arising therefrom shall be rounded up to the nearest one (1) yen. The amount not to be included in the amount of capital shall be included in the amount of capital reserve. - (10)Matters Concerning the Treatment of the Stock Acquisition Rights upon Merger, Absorption–type Corporate Split, Incorporation–type Corporate Split or Stock Exchange or a Stock Transfer:
If the Company conducts a merger (limited to the case where the Company ceases to exist due to the merger), an absorption–type corporate split or an incorporation–type corporate split (both, limited to the case where the Company is split) or a stock exchange or a stock transfer (both, limited to the case where the Company becomes a wholly–owned subsidiary) (hereinafter collectively referred to as the "Acts of Structural Reorganization"), the Company shall deliver the Stock Acquisition Rights of a surviving company of the merger, a newly–incorporated company through a merger, a company that succeeds all or a portion of the rights and obligations of the business in case of an absorption–type corporate split, a newly–incorporated company in case of an incorporation–type corporate split, a company acquiring all of the outstanding shares of the Company or a newly–incorporated company in case of a stock transfer (hereinafter referred to as the "Reorganized Company") to the holders of the Stock Acquisition Rights remaining at the time the relevant Act of Structural Reorganization (hereinafter referred to as the "Remaining Stock Acquisition Rights") becomes effective, pursuant to the conditions set forth below. In such case, the Remaining Stock Acquisition Rights shall be extinguished and the Reorganized Company shall issue new Stock Acquisition Rights; provided, however, that the foregoing shall be on the condition that delivery of such Stock Acquisition Rights by the Reorganized Company in accordance with each of the following items is set forth in a merger agreement, a consolidation agreement, an absorption–type corporate split agreement, an incorporate–type corporate split plan, a stock exchange agreement or a stock transfer plan and such agreement or plan is approved at a general meeting of shareholders of the Company (or, if a resolution of a general meeting of shareholders is not required, is resolved at the Board of Directors of the Company or determined by the Executive Officer who has been delegated such determination pursuant to the provisions of Article 416, Paragraph 4 of the Company Law).- (i)Number of Stock Acquisition Rights of the Reorganized Company to be Delivered:
A number equal to the Remaining Stock Acquisition Rights held by the Holder shall be delivered to such Holder. - (ii)Class of Shares of the Reorganized Company to be Issued or Transferred upon Exercise of Its Stock Acquisition Rights:
The shares of common stock of the Reorganized Company. - (iii)Number of Shares of the Reorganized Company to be Issued or Transferred upon Exercise of Its Stock Acquisition Rights:
The number reasonably adjusted in accordance with the conditions of the relevant Act of Structural Reorganization, and any fraction less than one (1) share resulting from such adjustment shall be disregarded. - (iv)Amount of Assets to be Contributed upon Exercise of the Stock Acquisition Rights:
The amount obtained by multiplying the amount to be paid after reorganization by the number of shares of the Reorganized Company to be issued or transferred upon exercise of the relevant Stock Acquisition Rights as determined in accordance with (iii) above. The amount paid after reorganization shall be one (1) yen per share of the shares of the Reorganized Company to be delivered upon exercise of each of its Stock Acquisition Rights. - (v)Period During which Stock Acquisition Rights May be Exercised:
From the later of (i) the commencement date of the period during which the Stock Acquisition Rights may be exercised as provided for in (5) above or (ii) the effective date of the relevant Act of Structural Reorganization, to the expiration date of the period during which the Stock Acquisition Rights may be exercised as provided for in (5) above. - (vi)Other Conditions and Provisions for the Exercise and Acquisition of Stock Acquisition Rights:
To be determined in accordance with (6) and (7) above. - (vii)Matters Concerning the Capital and Capital Reserve to be Increased due to Issuance of Shares upon Exercise of Stock Acquisition Rights:
To be determined in accordance with (9) above. - (viii)Approval for Acquisition of Stock Acquisition Rights by Way of Transfer:
Acquisition of the Stock Acquisition Rights by way of transfer shall require an approval of the Reorganized Company.
- (i)Number of Stock Acquisition Rights of the Reorganized Company to be Delivered:
- (11)Handling of Fractions Less than One (1) Share Resulting from Exercise of Stock Acquisition Rights:
In the case where the number of shares to be delivered to the holders who have exercised the Stock Acquisition Rights includes any fraction less than one (1) share, such fraction shall be disregarded. - (12)Method of Calculation of the Amount to be Paid upon Allotment of the Stock Acquisition Rights (Issue Price):
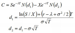
The amount to be paid upon allotment of each Stock Acquisition Right (Issue Price) shall be the amount obtained by multiplying (i) the option price per share calculated by the Black–Sholes Model using the basic numerical value set forth in (ii) through (vii) below by (ii) the Number of Granted Shares.
- (i)Option price per share (C)
- (ii)Stock price (S): Closing price of the regular trading of the shares of common stock of the Company at the Tokyo Stock Exchange on August 30, 2012 (if there is no closing price on such date, the base price of the next transaction date)
- (iii)Exercise price (X): One (1) yen
- (iv)Expected time to maturity (t): 2.42 years
- (v)Volatility (σ): Stock price fluctuation rate calculated based on the closing price of the regular trading of the shares of common stock of the Company on each trading date over 2.42 years (past 126 weeks from August 30, 2012)
- (vi)Risk–free interest rate (r): Interest rate of Japanese government bonds with a maturity that corresponds to the expected time to maturity
- (vii)Yield (λ): Dividend per share divided by stock price set forth in (ii) above
- (viii)Standard normal cumulative distribution function (N(·))
- *The amount obtained as a result of the above calculation shall be the fair value of the Stock Acquisition Rights, and the issuance hereunder shall not constitute a preferential issue.
- *The rights to remuneration held by the person who receives the allocation shall be offset by the obligation to pay the amount to be paid upon allocation of the Stock Acquisition Rights.
- (13)Date on Which the Stock Acquisition Rights Shall be Allotted:
August 31, 2012 - (14)Date on Which Money Shall be Paid in Exchange for Stock Acquisition Rights:
The payment date shall be August 31, 2012. - (15)Place where Applications for Exercise of the Stock Acquisition Rights Shall be Made:
Executive Secretariat of the Company (or any division or office in charge of such business from time to time) - (16)Payment Handling Place for the Money to be Contributed upon Exercise of the Stock Acquisition Rights:
Mizuho Bank, Ltd., Marunouchi Branch (or any successor bank of such bank or any successor branch, division or office of such branch from time to time)
3. Persons to Be Allocated the Stock Acquisition Rights and Their Numbers; and Number of the Stock Acquisition Rights to Be Allocated:
| Number of persons to be allocated | Number of the Stock Acquisition Rights to be allocated | |
| Director of the Company | 6 | 498 |
| Executive Officer of the Company | 11 | 455 |
| Director of Mizuho Bank, Ltd., Mizuho Corporate Bank, Ltd., Mizuho Trust & Banking Co., Ltd. and Mizuho Securities Co., Ltd. | 23 | 2,507 |
| Executive Officer of Mizuho Bank, Ltd., Mizuho Corporate Bank, Ltd., Mizuho Trust & Banking Co., Ltd. and Mizuho Securities Co., Ltd. | 150 | 8,316 |
"Number of the Stock Acquisition Rights to be allocated" is the number of the Stock Acquisition Rights scheduled to be allotted. If the number of the Stock Acquisition Rights to be allotted is reduced due to any Stock Acquisition Rights not being subscribed for or for any other reason, the number shall be the aggregate number of the Stock Acquisition Rights to be allotted to persons to be allocated.
